MobileNet
MobileNet v1 提出的比较早,算是移动端模型的经典之作,所提出的深度可分离卷积(depthwise separable convolutions)操作是现在移动端压缩模型的基本组件,应用非常广泛。在此基础上通过引入宽度因子(width multiplier)和分辨率因子(resolution multiplier)来构建不同大小的模型以适应不同场景精度要求。但是由于精度和速度以及思想陈旧问题,目前来说 MobileNet v1 已经很少使用了,基本上都会首选 MobileNet v2 和 v3。

1 算法设计
1.1 算法核心
论文指出常用的模型小型化手段有:
卷积核分解,使用 1×N 和 N×1 的卷积核代替 N×N 的卷积核,例如分数 Inception 结构
使用 bottleneck 结构即大量使用 1x1 卷积,以 SqueezeNet 为代表
以低精度浮点数保存,例如 Deep Compression
冗余卷积核剪枝及哈弗曼编码
首先需要明确移动端模型的要求是:在不会大幅降低模型精度的前提下,最大程度的提高运算速度。常规能够想到的做法是:
减少模型参数量
减少网络计算量
模型参数量少意味着整个模型的 size 比较小,非常适合移动端,试想用户下载个简单的图像分类功能 app 都超过 100Mb,那肯定无法接受,而减少网络计算量可以使得在 cpu 性能有限的手机上流畅运行。
针对上述两个需求,MobileNet v1 提出了两个创新:
轻量级移动端卷积神经网络。充分利用深度可分离卷积,其本质是冗余信息更少的稀疏化表达,在性能可接受前提下有效减少网络参数
进一步引入两个简单超参来平衡网络延时和精度,可以针对不同的应用场景进行有效裁剪
1.2 深度可分离卷积
首先分析常规卷积流程,然后再引入深度可分离卷积。
(1) 常规卷积

上述图片暂时没有找到出处
设输入特征图维度是DF×DF×M,DF是特征图宽,并且宽和高相等,假设输出的特征图宽高和输入一致,仅仅通道数更改为N,那么常规卷积的操作为:首先将 N 个 K×K 的卷积核分别作用在 M 个输入通道上,产生 M×N 个特征图,然后叠加每个输入通道对应的特征图,最终得到 N 个通道的输出特征图。
以上面图示为例,不考虑 batch 和 padding,假设卷积核参数是 3x5x5x4(3 是输入通道,4 是输出通道,5x5 是 kernel),输入特征图 shape 是(3,100,100),输出特征图 shape 是(4,100,100),则计算过程是:将滤波器参数 3x5x5x4 分成 4 组即[3x5x5,3x5x5,3x5x5,3x5x5],然后将 4 组滤波器(3,5,5)和同一个输入特征图(3,100,100)分别进行卷积操作(对于每一层滑动窗口内计算都是先对应位置相乘,然后全部加起来变成 1 个数输出),输出也是 4 组特征图[1x100x100,1x100x100,1x100x100,1x100x100],然后 concat 最终就得到输出特征图 shape 为(4,100,100)。
上述卷积操作参数量比较简单是M×K×K×N,而计算量(乘加次数)是M×DF×DF×N×K×K,这里是把一次先乘后加的操作合并了。
(2) 深度可分离卷积
深度可分离卷积实际是两次卷积操作,分别是 depthwise convolution 和 pointwise convolution。对每个通道(深度)分别进行空间卷积(depthwise convolution),并对输出进行拼接,随后使用 1x1 卷积核或者说逐点进行通道卷积(pointwise convolution)以得到特征图。
依然以上面的例子为例进行分析,卷积核参数是 3x5x5x4(3 是输入通道,4 是输出通道,5x5 是 kernel),输入特征图 shape 是(3,100,100),输出特征图 shape 是(4,100,100)。
第一步: depthwise convolution

上述图片暂时没有找到出处
该部分的卷积参数是 3x5x5x1,具体计算过程是:将滤波器参数 3x5x5x1 分成 3 组即[5x5x1,5x5x1,5x5x1], 同时将输入特征图也分成三组即[100x100x1,100x100x1,100x100x1],然后将 3 组滤波器(5,5,1)和 3 组特征图 100x100x1 进行一一对应的计算卷积操作,输出三组即[100x100x1,100x100x1,100x100x1],concat 后输出是 3x100x100。
可以看出其参数量是M∗K∗K,而计算量(乘加次数)是M∗DF∗DF∗K∗K。
第二步: pointwise convolution

上述图片暂时没有找到出处
这步骤其实是标准卷积,只不过 kernel 比较特殊是 1x1 的。故其卷积操作参数量比较简单是M×N,而计算量(乘加次数)是M×DF×DF×N。
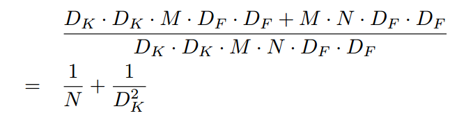
故深度可分离卷积的总参数量是M×K×K+M×N,计算量是M×DF×DF×K×K+M×DF×DF×N
对比常规卷积计算量是:

分子是通道可分离卷积计算量,分母是常规卷积计算量。可以看出,如果Dk取 3,那么理论上可以加速 8 到 9 倍,当然参数量也要显著下降。
通过对卷积进行分步改进,则将标准的 conv+bn+relu 变成了如下所示:

代码层面实现也比较简单:
实现比较巧妙,通过分组卷积(分组数正好等于输入通道数)就可以实现深度方向卷积,后面再接一个普通的 1x1 卷积即可。
1.3 基本网络模型

将 depthwise convolution 和 pointwise convolution 认为是独立的一层卷积,那么 MobileNet 网络一共 28 层,如上表所示,dw 是 depthwise convolution,s1 表示 stride 为 1。
在具体底层实现上,作者指出 depthwise convolution 结合 1x1 的 pointwise convolution 代替传统卷积不仅在理论上会更高效,而且由于大量使用 1x1 卷积,可以直接使用高度优化的数学库来完成这个操作。以 Caffe 为例,如果要使用这些数学库,要首先使用 im2col 的方式来对数据进行重新排布,从而确保满足此类数学库的输入形式,但是 1x1 方式的卷积不需要这种预处理。并且深度可分离卷积的计算量几乎全部在 pointwise convolution 上,现在不需要重排了,故所提卷积不仅在理论上,而且在实现上都是非常高效的。

从上表可以看出,在一次通道可分离卷积运算中,pointwise convolution 占了 94.86%,参数量占了 74.59%,可想而知网络是非常高效的。
1.4 宽度因子和分辨率因子
作者指出,尽管上述 MobileNet 在计算量和模型尺寸方面具备很明显的优势,但是在一些对运行速度或内存有极端要求的场合,还需要更小更快的模型,如何能够在不重新设计模型的情况下,以最小的改动就可以获得更小更快的模型呢?故本文提出的宽度因子和分辨率因子就是解决上述问题的配置参数。
宽度因子α是一个属于(0,1]之间的数,常用配置为{1,0.75,0.5,0.25},附加于网络的通道数上,使得整个 MobileNet 模型的计算量和参数数量约减到α的平方倍,计算量如下:
分辨率因子β的取值范围在(0,1]之间,是作用于每一个模块输入尺寸的约减因子,简单来说就是将输入数据以及由此在每一个模块产生的特征图都变小了,结合宽度因子,计算量如下:
β=1就是标准的 MobileNet,β<1会对输入进行缩减,常见的网络输入是{224, 192, 160,128},通过参数β可以非常有效的将计算量和参数数量约减到β的平方倍。
注意:使用宽度和分辨率参数调整网络结构之后,都要从随机初始化重新训练才能得到新网络。
2 训练细节
作者基于 TensorFlow 训练 MobileNet,使用 RMSprop 算法优化网络参数。考虑到较小的网络不会有严重的过拟合问题,因此没有做大量的数据增强工作。在训练过程中也没有采用训练大网络时的一些常用手段,例如:辅助损失函数,随机图像裁剪输入等。而且depthwise 卷积核含有的参数较少,作者发现这部分最好使用较小的 weight decay 或者不使用 weightdecay。
3 实验结果

从表 4 可以看出:和普通卷积对比,深度可分离卷积的分类性能仅仅下降了 1%,但是计算量下降了一个量级
从表 5 可以看出:0.75 MobileNet 是指宽度因子是 0.75,shallow 是指把网络的前 6 层去掉的浅层网络,可以看出使用宽度因子效果明显好于浅层网络,且计算量相同

从表 6 和表 7 可以看出:不同的宽度因子和分辨率因子对网络性能有影响,在实际应用中需要自己平衡。

将 MobileNet 应用于 SSD 目标检测算法中作为骨架网络,可以看出,MobileNet 性能有所下降,但是计算量下降非常大,整体而言还是可以接受的。
4 总结
本文核心是提出了深度可分离卷积操作,可以在仅仅牺牲一点点参数量的基础上显著减少参数量和计算量,同时为了能够适用不同资源的移动设备,还引入了宽度因子和分辨率因子来复合缩放基础 MobileNet。
论文:MobileNets: Efficient Convolutional Neural Networks for Mobile Vision Applications
Last updated